中国政府网
广东省政府网
汕头市政府网
无障碍版
首 页
政务公开
政务服务
福利彩票
社会组织工作
救助管理
首 页
政务公开
政务服务
福利彩票
社会组织工作
救助管理
搜索
您现在所在的位置 :
首页
>
汕头市民政局
>
福利彩票
>
福彩要闻
福彩要闻
分享到:
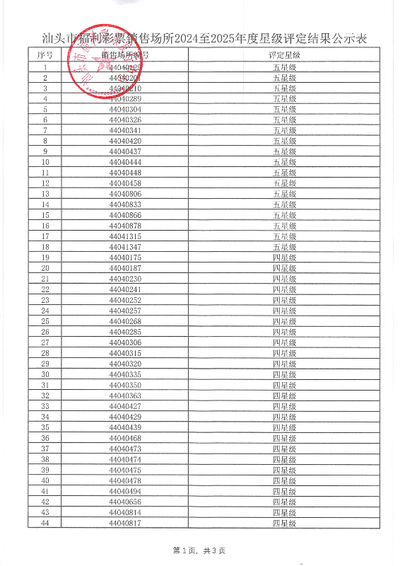
汕头市福利彩票发行中心关于我市福利彩票销售场所 2024 至 2025 年度星级评定初评结果的公示
2024-03-25 17:40
来源:
本网
发布机构:
【字体:
大
中
小
】
相关附件:
扫一扫在手机打开当前页
【TOP】
【
打印页面
】【
关闭页面
】
主办:汕头市人民政府办公室
技术保障:汕头市政务服务中心
联系我们
网站地图
网站标识码:4405000014
备案号:粤ICP备05066684号-1
粤公网安备 44051102000227号
您访问的链接即将离开“汕头市民政局门户网站”,是否继续?
友情链接
免费做爱影片
|
禁漫天堂
|
老王论坛
|
麻豆视频